Web Reference: The meaning of LECTURE is a discourse given before an audience or class especially for instruction. How to use lecture in a sentence. LECTURE definition: 1. a formal talk on a serious subject given to a group of people, especially students: 2. an angry…. A lecture (from Latin: lectura 'reading') is an oral presentation intended to present information or teach people about a particular subject, for example by a university or college teacher.
YouTube Excerpt: In this
Color Profile Overview
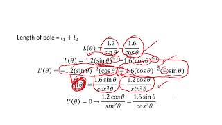
Lecture 4 5 Trig Optimization Color Trends 2026: Meanings, Combinations, And Trends Explained Color & Biography

style: $44M - $82M
Salary & Income Sources

Career Highlights & Achievements

Assets, Properties & Investments
This section covers known assets, real estate holdings, luxury vehicles, and investment portfolios. Data is compiled from public records, financial disclosures, and verified media reports.
Last Updated: April 6, 2026
Color Outlook & Future Earnings

Disclaimer: Disclaimer: Color estimates are based on publicly available data, media reports, and financial analysis. Actual numbers may vary.








