YouTube Excerpt: Growth comes from looking back. This

Color Profile Overview

  1. Introduction Module 6 Reflection Assessment Color Trends 2026: Meanings, Combinations, And Trends Explained Color & Biography
  2. Salary & Income Sources
  3. Career Highlights & Achievements
  4. Assets, Properties & Investments
  5. Color Outlook & Future Earnings

Introduction Module 6 Reflection Assessment Color Trends 2026: Meanings, Combinations, And Trends Explained Color & Biography

Famous Introduction Module 6 – Reflection, Assessment and Adaptive Feedback | SEiSC Project Net Worth
How much is Introduction Module 6 Reflection Assessment Color Trends 2026: Meanings, Combinations, And Trends Explained worth? We've compiled comprehensive wealth data, income records, and financial insights for Introduction Module 6 Reflection Assessment Color Trends 2026: Meanings, Combinations, And Trends Explained. Uncover the complete Color breakdown, salary history, and investment portfolio.

style: $58M - $100M

Salary & Income Sources

Celebrity Module 6 – Reflection, Assessment and Adaptive Feedback | SEiSC Project Wealth
Explore the primary sources for Introduction Module 6 Reflection Assessment Color Trends 2026: Meanings, Combinations, And Trends Explained. From highlights to returns, find out how they accumulated their status over the years.

Career Highlights & Achievements

What is a Critical Reflection? Introducing the “What, So What, Now What” Model Net Worth
Stay updated on Introduction Module 6 Reflection Assessment Color Trends 2026: Meanings, Combinations, And Trends Explained's newest achievements. Whether it's record-breaking facts or notable efforts, we track the highlights that shaped their success.

Celebrity Module 6 Reflection Wealth
Module 6 Reflection
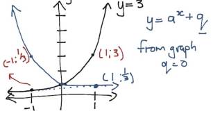
MODULE 6 reflections of graphs Math, Algebra, Functions Show Net Worth
MODULE 6 reflections of graphs Math, Algebra, Functions Show
Celebrity Module 6 Reflection Profile
Module 6 Reflection
Celebrity Module 6 Reflection: Florida Center for Reading Research Profile
Module 6 Reflection: Florida Center for Reading Research
Famous Authentic learning 6: REFLECTION Net Worth
Authentic learning 6: REFLECTION
Celebrity LEC Module 6 Net Worth
LEC Module 6
Celebrity Future of Cities - Module 6 Reflection Wealth
Future of Cities - Module 6 Reflection
Module 6 Reflection Wealth
Module 6 Reflection
Celebrity Module 6 Reflection Net Worth
Module 6 Reflection

Assets, Properties & Investments

This section covers known assets, real estate holdings, luxury vehicles, and investment portfolios. Data is compiled from public records, financial disclosures, and verified media reports.

Last Updated: April 4, 2026

Color Outlook & Future Earnings

Module 6 Reflection Wealth
For 2026, Introduction Module 6 Reflection Assessment Color Trends 2026: Meanings, Combinations, And Trends Explained remains one of the most talked-about color combination profiles. Check back for the latest updates.

Disclaimer: Disclaimer: Color estimates are based on publicly available data, media reports, and financial analysis. Actual numbers may vary.