Web Reference: Step 4: Find offline devices and devices without power To help you find offline items with Find Hub, if you donβt have one, set a PIN, pattern, or password on your Android device. Learn how to set screen lock on your device. To get help from the network with finding your items on your Android device, set a PIN, pattern or password. Your device's most recent location is available to the first account activated on the device. Tip: To find, secure, or erase your Wear OS device, connect it to Wi-Fi or mobile data. Be ready to find a lost Android device. To find your friends and family, you can use the Find Hub app to: Share your location with others Find othersβ location on a map Take a few different actions for those shares Set up your Fin
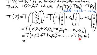
YouTube Excerpt: We go over examples of how to
Color Profile Overview
Find Standard Matrix For Linear Color Trends 2026: Meanings, Combinations, And Trends Explained Color & Biography

style: $48M - $70M
Salary & Income Sources

Career Highlights & Achievements

Assets, Properties & Investments
This section covers known assets, real estate holdings, luxury vehicles, and investment portfolios. Data is compiled from public records, financial disclosures, and verified media reports.
Last Updated: April 4, 2026
Color Outlook & Future Earnings

Disclaimer: Disclaimer: Color estimates are based on publicly available data, media reports, and financial analysis. Actual numbers may vary.




![Two Methods to Find Standard Matrix for Projection Onto a Line [Passing Linear Algebra] Profile](https://i.ytimg.com/vi/FseHDXnIgj4/mqdefault.jpg)



