Web Reference: 7-Zip 是完全免费的,并且拥有开源代码,遵循 GNU LGPL 许可。 5、加密功能: 它支持 AES-256 加密,这是一个非常强固的加密标准,保护用户数据不被未授权的访问。 6、多语言支持: 软件界面支持多种语言,可以方便不同国家的用户使用。 (完) 阅读全文 为猿 ... 如何减少雪球 雪球是什么——整个品类的难题 文明7的创新并不是无的放矢,而是为了解决之前文明6的痛点,如果要给文明6或者说单机SLG找一个最大的问题,这个问题一定是滚雪球问题。 Dec 17, 2013 · 在0~9的十个数字中,7应该是个独特的数字。国际上通用的历法中,一周的天数和七有关。中国人对7也是情有独钟:“七仙女下凡”,“北斗七星”;成语中也有不少与7有关的:“七颠八倒”,“七零八落”,“七拼八凑”,“七窍生烟”,“七擒八纵”,“七上八下”,“七手八脚”,“七嘴八舌 ...
YouTube Excerpt: We made it guys this is the last section of chapter
Color Profile Overview
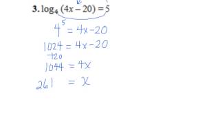
7 4 Solve Logarithmic Equations Color Trends 2026: Meanings, Combinations, And Trends Explained Color & Biography

style: $64M - $92M
Salary & Income Sources

Career Highlights & Achievements

Assets, Properties & Investments
This section covers known assets, real estate holdings, luxury vehicles, and investment portfolios. Data is compiled from public records, financial disclosures, and verified media reports.
Last Updated: April 5, 2026
Color Outlook & Future Earnings

Disclaimer: Disclaimer: Color estimates are based on publicly available data, media reports, and financial analysis. Actual numbers may vary.








