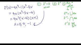
YouTube Excerpt: This calculus video tutorial provides a basic introduction into the

Color Profile Overview

  1. Second Derivative Test Example Color Trends 2026: Meanings, Combinations, And Trends Explained Color & Biography
  2. Salary & Income Sources
  3. Career Highlights & Achievements
  4. Assets, Properties & Investments
  5. Color Outlook & Future Earnings

Second Derivative Test Example Color Trends 2026: Meanings, Combinations, And Trends Explained Color & Biography

Famous Second Derivative Test Profile
How much is Second Derivative Test Example Color Trends 2026: Meanings, Combinations, And Trends Explained worth? We've compiled comprehensive wealth data, income records, and financial insights for Second Derivative Test Example Color Trends 2026: Meanings, Combinations, And Trends Explained. Explore the complete Color breakdown, salary history, and investment portfolio.

style: $74M - $112M

Salary & Income Sources

Second Derivative Test: Example Wealth
Explore the key sources for Second Derivative Test Example Color Trends 2026: Meanings, Combinations, And Trends Explained. From highlights to returns, find out how they built their profile over the years.

Career Highlights & Achievements

Second derivative test | Using derivatives to analyze functions | AP Calculus AB | Khan Academy Wealth
Stay updated on Second Derivative Test Example Color Trends 2026: Meanings, Combinations, And Trends Explained's latest milestones. Whether it's award-winning performances or notable efforts, we track the accomplishments that shaped their success.

Famous The Second Derivative Test - Additional Examples with Transcendental Functions Net Worth
The Second Derivative Test - Additional Examples with Transcendental Functions
Famous Second partial derivative test example, part 1 Profile
Second partial derivative test example, part 1
Famous Second Derivative Test Fail - Calculus Net Worth
Second Derivative Test Fail - Calculus
Learn how to use the second derivative test to determine relative extrema Profile
Learn how to use the second derivative test to determine relative extrema
Famous Use the Second Derivative Test to Find all Relative Extrema f(x) = x^3 - 3x^2 + 2 Profile
Use the Second Derivative Test to Find all Relative Extrema f(x) = x^3 - 3x^2 + 2
Famous 2nd derivative test, a visual explanation Profile
2nd derivative test, a visual explanation
Famous Second Derivative Test: Example 1 Wealth
Second Derivative Test: Example 1
Celebrity 1st and 2nd Derivative Tests Wealth
1st and 2nd Derivative Tests
second derivative test for multivariable functions example Net Worth
second derivative test for multivariable functions example

Assets, Properties & Investments

This section covers known assets, real estate holdings, luxury vehicles, and investment portfolios. Data is compiled from public records, financial disclosures, and verified media reports.

Last Updated: April 4, 2026

Color Outlook & Future Earnings

Celebrity How to use the SECOND DERIVATIVE TEST (KristaKingMath) Net Worth
For 2026, Second Derivative Test Example Color Trends 2026: Meanings, Combinations, And Trends Explained remains one of the most talked-about color combination profiles. Check back for the newest reports.

Disclaimer: Disclaimer: Color estimates are based on publicly available data, media reports, and financial analysis. Actual numbers may vary.